Wobbe-Index
Wobbe-Index
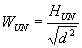
Der Wobbe-Index
W ist ein Kennwert
fuer die Austauschbarkeit von Gasen hinsichtlich der
Wärmebelastung der Gasgeraete. In Abhaengigkeit vom
Brennwert oder
Heizwert wird nach oberem
WS,N
und unterem
WI,N unterschieden.
Zwischen
Brennwert oder
Heizwert und
relativer Dichte
besteht die Beziehung

 oder

 in
Folgerung
Gas mit gleichem Wobbe-Index und gleichen Zustandsgroessen ergeben innerhalb einer Gasfamilie bei gleichen Duesen die gleiche Waermebelastung des Brenners.
In der Praxis dient der Wobbe-Index dazu, um ueber den Duesendruck die Waermebelastung des Brenners einzustellen.